[hackerrank] Prepare > SQL > Advanced Select > Binary Tree Nodes
[문제]
You are given a table, BST, containing two columns: N and P, where N represents the value of a node in Binary Tree, and P is the parent of N.

Write a query to find the node type of Binary Tree ordered by the value of the node. Output one of the following for each node:
- Root: If node is root node.
- Leaf: If node is leaf node.
- Inner: If node is neither root nor leaf node.
Sample Input

Sample Output
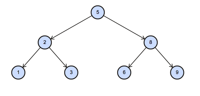
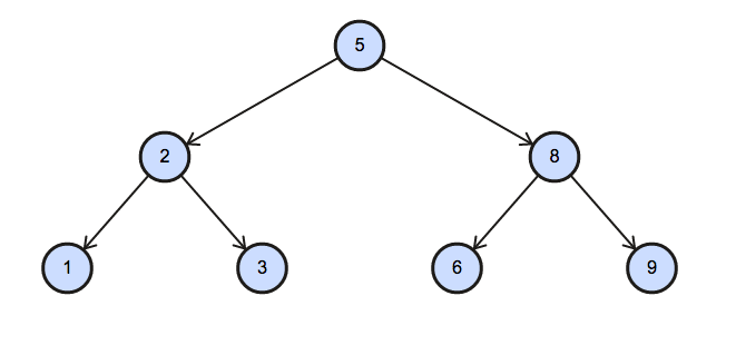
1 Leaf
2 Inner
3 Leaf
5 Root
6 Leaf
8 Inner
9 Leaf
Explanation
The Binary Tree below illustrates the sample:

[MYSQL]
[ORCALE]
https://yurimyurim.tistory.com/15
계층구조 쿼리의 START WITH 절에서는 루트(부모행)로 사용될 행을 지정합니다.
- Root 노드는 부모 값(P)이 NULL인 행입니다.
CONNECT BY PRIOR 절에 상위계층(부모행)과 하위계층(자식행)의 관계를 규정합니다.
- 자식컬럼(N) = 부모컬럼(P)로 지정하여 부모에서 자식으로(Top Down) 트리를 구성합니다.
LEVEL은 계층구조 쿼리에서 수행결과의 Depth를 표현하는 Pseudocolumn입니다.
- LEVEL 값이 1인 경우를 'Root'로 지정합니다.
CONNECT_BY_ISLEAF는 계층구조 쿼리에서 최하위 레벨(LEAF) 여부를 반환합니다.
- CONNECT_BY_ISLEAF 값이 1인 경우를 'Leaf'로 지정합니다.
- 그 외의 경우 'Inner'로 지정합니다.
SELECT N
, CASE WHEN LEVEL = 1 THEN 'Root'
WHEN CONNECT_BY_ISLEAF = 1 THEN 'Leaf'
ELSE 'Inner' END NODE
FROM BST
START WITH P IS NULL
CONNECT BY PRIOR N = P
ORDER BY 1
;
이진트리만드는 법
오라클에서의 계층형 쿼리는
START WITH ... CONNECT BY 절로 생성할 수 있으며
계층형 정보를 표현하기 위한 목적으로 오라클 8부터 지원되었습니다.
https://coding-factory.tistory.com/461
https://goldswan.tistory.com/36
| 계층형 쿼리 : 부모, 자식 간의 수직관계를 트리 구조 형태로 보여주는 쿼리 START WITH : 트리 구조의 최상위 행을 지정합니다. CONNECT BY : 부모, 자식의 관계를 지정합니다. PRIOR : CONNECT BY 절에 사용되며 PRIOR에 지정된 컬럼이 맞은편 컬럼을 찾아갑니다. CONNECT BY PRIOR 자식 컬럼 = 부모 컬럼 : 부모 → 자식 순방향 전개 CONNECT BY PRIOR 부모 컬럼 = 자식 컬럼 : 자식 → 부모 역방향 전개 ORDER SIBLINGS : 계층형 쿼리에서 정렬을 수행합니다. |
SELECT [컬럼]...
FROM [테이블]
WHERE [조건]
START WITH [최상위 조건]
CONNECT BY [NOCYCLE][PRIOR 계층형 구조 조건];
'HackerRank > SQL' 카테고리의 다른 글
| [hackerrank] The PADS (0) | 2022.08.17 |
|---|---|
| [hackerrank] type of triangle (0) | 2022.08.17 |
| [hackerrank] Employee Salaries (0) | 2022.08.09 |
| [hackerrank] Higher Than 75 Marks (0) | 2022.08.09 |
| [hackerrank] Weather Observation Station 12 (0) | 2022.08.09 |